作用・特徴
トリアゾラム(先発医薬品名:ハルシオン)は入眠作用が強く、作用時間が短い特徴を有する睡眠剤です。
超短時間型ベンゾジアゼピン睡眠剤に分類されます。
入眠への作用はベンゾジアゼピン睡眠剤の中で、フルニトラゼパムについで2番目に強いことがわかっています1)、(図1)。
図1 フルニトラゼパムとトリアゾラムの催眠作用の強さ
入眠への効果以外に、強力な抗不安作用・筋弛緩作用も有しています2)、(図2)
図2 トリアゾラム(先発医薬品名:ハルシオン)の抗不安作用・筋弛緩作用の強さ
米国アップジョン社(現ファイザー社)により開発された、トリアゾロベンゾジアゼピンに属します。
日本では1983年より発売されています。
アルプラゾラム(先発医薬品名:ソラナックス・コンスタン)と同系統の開発の中で合成され、化学構造式は類似する構造となっています3)、(図3)。
図3 アルプラゾラムとトリアゾラムの化学構造式
剤型
剤型は0.125mg錠と0.25錠があります(図4)。
図4 トリアゾラム(先発医薬品名:ハルシオン)の剤型
効能・効果
効能・効果は以下となっています。
用法・用量
不眠症では、通常成人では、1回0.25mgを就寝前に内服します。
高度な不眠症では0.5mgを内服することができます。
なお、年齢・症状・疾患などを考慮して適宜増減しますが、高齢者では、1回0.125mg~0.25mgまでとします。
麻酔前投薬では、手術前夜に通常成人1回0.25mgを就寝前に内服します。
なお、年齢・症状・疾患などを考慮し、必要に応じ0.5mgを内服することができます。
薬物動態
トリアゾラム0.5mgを1回内服した際の血中濃度は、約1.2時間後に最高濃度に達し、約2.9時間後に半減します(図5)。
図5 トリアゾラム0.5mgを1回内服した際の血中濃度の推移
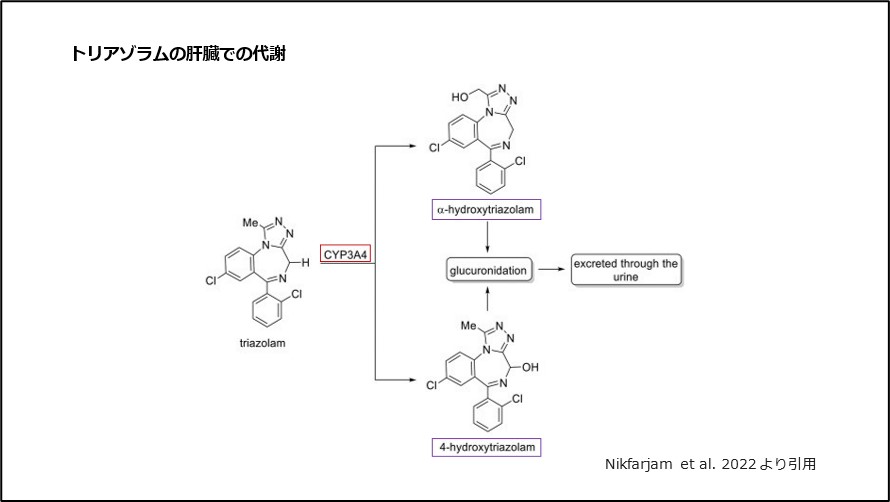
トリアゾラムは肝臓でCYP3A4により代謝され、α-hydroxytriazolamと4-hydroxytriazolam2種の主要代謝物に代謝されます(図6)。
図6 トリアゾラムの肝臓での代謝
α-hydroxytriazolamは薬理活性を有しますが、血中濃度はトリアゾラムの約1/7程度と報告されています4)。
副作用
調査症例数12,930例中388例(2.61%)に副作用発現を認め、主なもの以下でした(図7)。
- 傾眠(1.18%)
- ふらつき(0.99%)
- 倦怠感(0.75%)
- 頭重感(0.39%)
- 頭痛(0.31%)
- 健忘(0.09%)
- 協調運動障害(0.09%)
図7 トリアゾラム(先発医薬品名:ハルシオン)の主な副作用
トリアゾラムは入眠作用と、翌日への持ち越し効果(翌日に眠気が残る副作用)が少ないことが優れた面とされ、過去に多く処方されました。
その一方で依存・耐性形成が早期に生じます5)。
急に中止した際は離脱症状が生じ、かえって不眠が悪化する反跳性不眠を呈しやすいことがわかっています。
これらを踏まえ英国では販売中止の措置が取られています。
トリアゾラムは規定用量より多く内服したり、アルコールと併用すると記憶障害やもうろう状態となるリスクが高く、乱用される危険性が指摘されています6)。
併用禁忌・併用注意
以下の薬剤は併用禁忌となっています。(トリアゾラムと同じCYP3A4により代謝されるため、トリアゾラムの代謝が阻害され、血中濃度が上昇し、作用の増強及び作用時間の延長が起こるおそれがあるため。)
- イトラコナゾール(イトリゾール)
- ポサコナゾール(ノクサフィル)
- フルコナゾール(ジフルカン)
- ホスフルコナゾール(プロジフ)
- ボリコナゾール(ブイフェンド)
- ミコナゾール(フロリード)
- アタザナビル硫酸塩(レイアタッツ
- ダルナビルエタノール付加物(プリジスタ)
- ホスアンプレナビルカルシウム水和物(レクシヴァ)
- リトナビル(ノービア)
- ロピナビル・リトナビル(カレトラ
- ニルマトレルビル・リトナビル(パキロビッド)
- エンシトレルビルフマル酸(ゾコーバ)
- コビシスタット含有製剤(ゲンボイヤ、シムツーザ、 スタリビルド、プレジコビックス)
- エファビレンツ(ストックリン)
以下の薬剤等は併用注意となっています。
- アルコール:精神神経系等の副作用があらわれるおそれがあるため
- 中枢神経抑制剤(フェノチアジン誘導体、バルビツール酸誘導体等):精神神経系等の副作用があらわれるおそれがあるため
- エリスロマイシン:トリアゾラムの血中濃度が上昇するおそれがあるため
- クラリスロマイシン:トリアゾラムの血中濃度が上昇するおそれがあるため
- ジョサマイシン:トリアゾラムの血中濃度が上昇するおそれがあるため
- シメチジン:トリアゾラムの血中濃度が上昇するおそれがあるため
- ジルチアゼム:トリアゾラムの血中濃度が上昇するおそれがあるため
- イマチニブメシル酸塩:トリアゾラムの血中濃度が上昇するおそれがあるため
- キヌプリスチン:トリアゾラムの血中濃度が上昇するおそれがあるため
- ダルホプリスチン:トリアゾラムの血中濃度が上昇するおそれがあるため
- 強い CYP3A 誘導剤(カルバマゼピン、フェノバルビタール、リファンピン等):トリアゾラムの作用が低下するおそれがあるため
- グレープフルーツジュース:トリアゾラムの作用が増強するおそれがあるため
- モノアミン酸化酵素阻害剤:多汗、起立性低血圧等の副作用があらわれるおそれがあるため
- セリチニブ:トリアゾラムの血中濃度が上昇するおそれがあるため
トリアゾラムは併用禁忌・併用注意薬が多く飲み合わせに注意が必要です。
2022年10月に、抗がん剤のセリチニブ(医薬品名:ジカディア)とトリアゾラムの併用について、治療上の有益性が危険性を上回る場合を除き、セリチニブとの併用は避け、代替の治療薬への変更を考慮することと、使用上の注意があらたに追記されました。
おひとりで悩んでいませんか?
不眠症状がある場合は、我慢せず早めの心療内科・精神科への受診をおすすめします。
まずはかかりつけ内科等で相談するのも1つの方法です。

参考
- 1) 小沢 正樹, 他. : 中枢Benzodiazepineω1型,ω2型,ω3型受容体に対するLormetazepamの作用. 日薬理誌, 98 : 399~408. 1991.
- 2) 植木 昭和, 他. : 新しいBenzodiazepine誘導体Triazolamの行動薬理学的ならびに脳波学的研究. 日薬理誌, 74 : 597-614, 1978.
- 3) Nikfarjam et al. : Chapter 5 – Pharmaceutical applications of 1,4-benzodiazepines, Benzodiazepine-Based Drug Discovery, 2022.
- 4) Eberts FS Jr, et al. : Triazolam disposition. Clin Pharmacol Ther, 29 : 81-93, 1981.
- 5) File SE. : Rapid development of tolerance to the sedative effects of lorazepam and triazolam in rats. Psychopharmacology (Berl), 73 : 240-5, 1981.
- 6) 村崎 光邦. : トリアゾラム物語. 臨床精神医学, 28 : 587-589, 1999.